ANEMIE (BLOEDARMOEDE) home ICD10: D64.9

Normochrome/normocytaire anemie (MCH normaal, MCV normaal) ziet men bij bloedverlies (later macrocytair, soms zelfs hypochroom), hemolyse (ernstige hemolyse: normoblasten in bloed), aplastische/hypoplastische anemie, uremie, chronische infectie, reumatoïde arthritis e.a. bindweefsel-ziekten, na brandwonden, pyridoxine deficiëntie, Thallasemie, sideroblastische anemie.

Macrocytaire, megaloblastaire anemie (MCV hoog, MCH hoog) ziet men bij vitamine B12 tekort (voedingsdeficiëntie, maagafwijkingen (pernicieuze anemie (intrinsic factor), gastrectomie, congenitale deficiëntie intrinsic factor), gestoorde absorptie, worminfectie (Dibothriocephalus latus), foliumzuur tekort, voedingsdeficiëntie, malabsorptie syndroom, verhoogde behoefte (zwangerschap, lactatie, haemolytische anemie, maligniteiten, chronische ontstekingen, R.A., chronische dialyse, C.H.F., leverziekten, homocystinurie), medicijnen (anticonvulsiva, alcohol, cytostatica), defecten in de DNA synthese.

Hypochrome, microcytaire anemie (MCH laag, MCV laag) ziet men bij ijzergebreksanemie, voedingsdeficiëntie, relatief tekort (b.v. groeiend kind), verhoogd verlies (menstruatie, menorrhagie, gastro-intestinaal bloedverlies, hematurie, haemoglobinurie), malabsorptie (achloorhydrie, coeliakie, pancreasinsufficiëntie), Thallasemie, etcetera.

Anemie kan op grond van de pathofysiologie worden ingedeeld in 3 hoofdcategorieën:
- bloedverlies
- verminderde of gestoorde aanmaak
- verhoogde afbraak

De belangrijkste oorzaak voor bloedverlies is bij vrouwen menstruatie. Bij post-menopauzale vrouwen en bij mannen kan het ook een maagzweer of een darmtumor zijn. Verminderde of gestoorde aanmaak komt o.a. voor bij ijzergebreksanemie, anemie door vitamine B12- of foliumzuurdeficiëntie, chronische ziekte of infectieziekte, hemoglobinopathie, beenmergaandoeningen, zoals beenmergstamcelziekten (myelodysplasie, acute leukemie) of beenmergverdringing (chronische lymfatische leukemie, lymfoom, tumormetastasen). Verhoogde afbraak komt o.a. voor bij hemolytische anemie (sferocytose, elliptocytose), anemie door enzymdefecten (G6PD- en pyruvaatkinasedeficiëntie), auto-immuunhemolytische anemie (AIHA).

Anemie in relatie tot dermatologie:
Anemie kan optreden bij een aantal geneesmiddelen die bij dermatologische indicaties worden voorgeschreven, zoals dapson, plaquenil, azathioprine, methotrexaat, colchicine, rituximab, alitretinoïne, pentamidine, endoxan, sulfasalazine, etc.
Anemie kan geassocieerd zijn met huidziekten, zoals pruritus, koilonychia, onychorrhexis, ulcera, ziekte van Kawasaki, urticaria pigmentosa, ziekte van Kahler, agammaglobulinemie, Waldenström's macroglobulinemie, Langerhans cel histiocytose, glossodynie, cheilitis angularis, porfyrie, Fanconi anemie, dermatitis herpetiformis, alopecia areata, hypereosinofiel syndroom, hyper IgE syndroom, Schnitzler syndroom, Goodpasture syndroom, acne fulminans, furunculosis, epidermolysis bullosa congenita, TEN, SLE, Still's disease, Peutz-Jeghers syndroom, hemangiomen, Rendu-Osler-Weber syndroom, acrocyanosis, erytromelalgie, acrokeratosis paraneoplastica, necrolytic migratory erythema, Sweet syndroom, panniculitis, trypanosomiasis, e.a. infecties.

Diagnostiek:
Normaalwaarden Hb voor mannen: 8.5-11 mmol/l; vrouwen: 7.5-10 mmol/l. Kinderen 1 maand-6 jaar: 6.0-9,0 mmol/l; vanaf 6 jaar: 6.5-10 mmol/l.
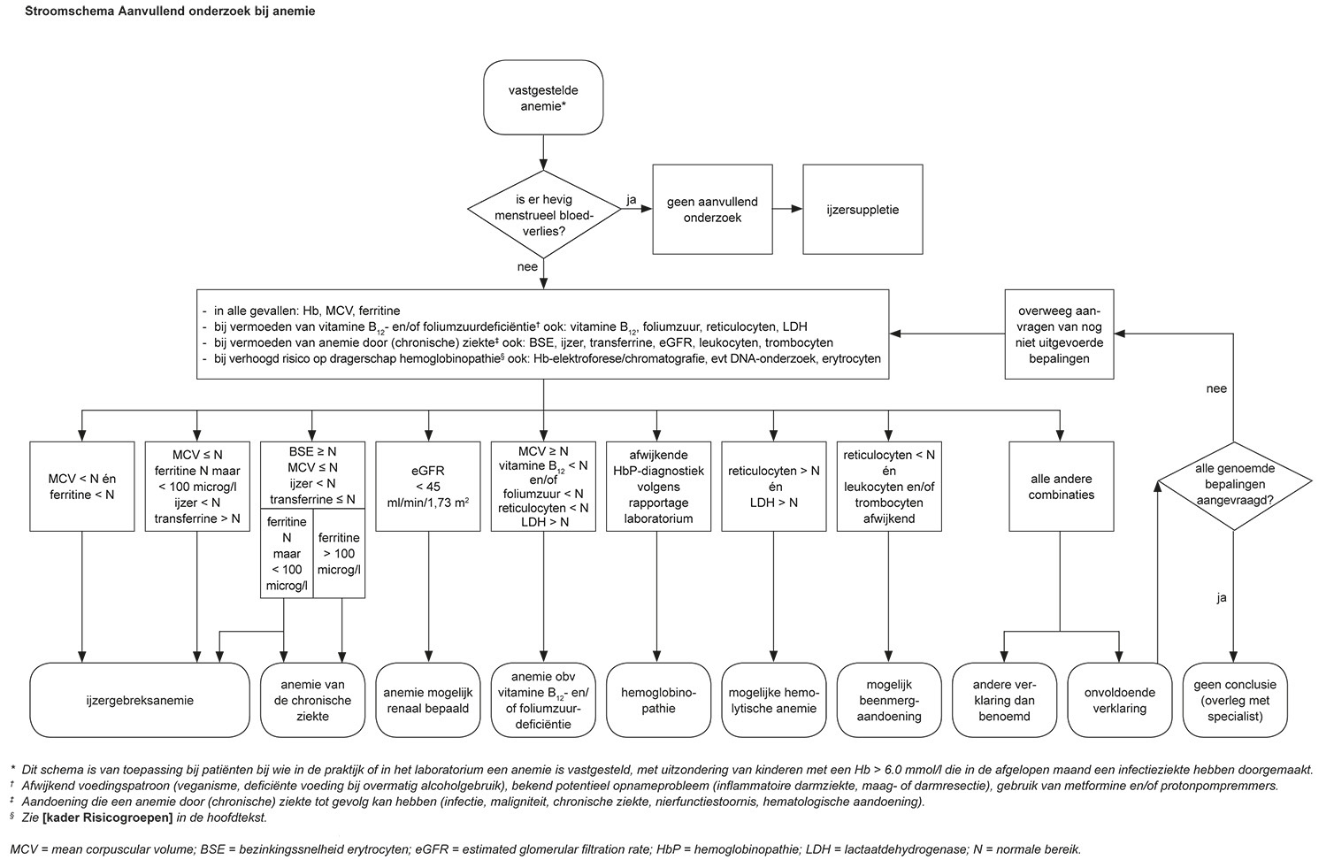
Als er een duidelijke verklaring is zoals hevig menstrueel bloedverlies dan is er geen verdere diagnostiek nodig. Start ijzersuppletie.
Bepaal minimaal Hb, MCV en ferritine. Als er vitaminetekorten zouden kunnen zijn (door dieten of malabsorptie) ook vitamine B12, foliumzuur, reticulocyten en LDH.
Bepaal bij vermoeden van een (chronische) ziekte BSE, ijzer, transferrine, eGFR, leukocyten, trombocyten.
Bij verdenking op een hemoglobinopathie (alleen bepaalde risicogroepen) Hb elektroforese, eventueel DNA onderzoek, erytrocyten.
Omdat het niet de bedoeling is patiënten meerdere keren te prikken moet dus voor een volledige analyse (uitgezonderd hemoglobinopathieën) het volgende pakket worden aangevraagd:

Analyse anemie:
Hb, MCV, erytrocyten, reticulocyten, leukocyten, trombocyten
BSE, ferritine, transferrine, ijzer, eGFR, LDH, foliumzuur, vitamine B12


Behandeling ijzergebreksanemie:
R/ ferrofumaraat (tablet à 200 mg; suspensie 20 mg/ml) 2 x per week 200 mg. Kinderen 5-10 kg (3-12 maanden): 1 dd 0.75-1.5 ml; 10-15 kg (1-3 jaar): 1 dd 1.5-2 ml; 15-35 kg (3-10 jaar): 1 dd 2-5 ml; 35-65 kg (10-12 jaar): 1 dd 5-7.5 ml of tablet 100-200 mg, 1 dd. Controleer het Hb 4 weken na start ijzersuppletie en wanneer het Hb naar verwachting weer normaal is (uitgaand van een gemiddelde stijging van 0,5 mmol/l per week). Na normalisering Hb: ijzersuppletie nog 8-12 weken continueren in halve dosering van de dosis die tot dan toe goed werd verdragen. Als herstel uitblijft na ijzersuppletie: zoek naar andere mogelijke verklaringen van de anemie.

De NHG heeft een richtlijn voor anemie en een richtlijn voor diagnostiek bij anemie gemaakt. Hierin is ook de volgende flowchart opgenomen:

Flowchart diagnostiek bij anemie (NHG)



Author(s):
dr. Jan R. Mekkes. Dermatologist, Amsterdam UMC.

31-05-2023 (JRM) - www.skin-diseases.eu Terug naar homepagina



Diagnosis codes:
ICD10 D64.9 Anemie, niet gespecificeerd
ICD10 D64.9 Anaemia, unspecified
SNOMED 271737000 Anaemia
DBC 28 Geen dermatologische diagnose