Compound 48/80  home ICD10: L23.9

 
Colofonium

Formule CAS
  94724-12-62



Background
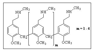
Compound 48/80 is a condensation product of p-methoxyphenethyl methylamine with formaldehyde; it is a mixture of low-molecular-weight polymers, 6 >= n >= 3. One claim is that the trimer is most active, but another source cites the hexamer as being of highest activity. The monomer unit is C11 H15 N O (FW 153).

Synonyms

Uses
Compound 48/80 was first described as a blood pressure lowering agent, then recognized as a potent histamine releasing agent (primarily from mast cells, with a subsequent depletion of tissue histamine lasting over 48 hours. It is the action of mast cell mediators on the cardiovascular system that is affected, and leads to circulatory collapse. One reference indicates that it is toxic, that its toxicity is related to some action other than histamine release. Compound 48/80 is a potent inhibitor of phospholipase C.

Cross-Reactions

Unusual Reactions


Author(s):
Allergology: background information on allergens.

31-12-2015 (JRM) - www.skin-diseases.eu Terug naar homepagina